LAMPU
DAN PINTU RUMAH OTOMATIS DENGAN SENSOR LDR DAN SENSOR
PIR
1. Untuk mengetahui
pengertian dan karakteristik sensor LDR dan PIR.
2. Untuk dapat membuat
rangkaian aplikasi gabungan sensor LDR dan PIR.
3. Untuk mengetahui prinsip
kerja gabungan sensor LDR dan PIR.
Alat:
1.
Motor DC
Difungsikan guna mengukur besarnya tegangan listrik yang terdapat dalam suatu rangkaian listrik. Dimana, untuk penyusunannya dilakukan secara paralel sesuai pada lokasi komponen yang sedang diukur.
Bahan:
1. Resistor
Digunakan untuk menghambat arus agar tidak terlalu besar.
2.Relay
Relay adalah komponen elektronika yang berupa saklar atau switch elektrik yang dioperasikan menggunakan listrik. Relay disebut sebagai komponen electromechanical karena terdiri dari dua bagian utama yaitu coil atau elektromagnet dan kontak saklar atau mekanikal. Komponen relay menggunakan prinsip elektromagnetik sebagai penggerak kontak saklar, sehingga dengan menggunakan arus listrik yang kecil atau low power, dapat menghantarkan arus listrik yang memiliki tegangan lebih tinggi.
3.Baterai
Baterai merupakan suatu komponen elektronika yang digunakan sebagai sumber tegangan pada rangkaian.
4.Op-Amp
Operasional amplifier (Op-Amp) adalah suatu penguat berpenguatan tinggi yang terintegrasi dalam sebuah chip IC yang memiliki dua input inverting dan non-inverting dengan sebuah terminal output, dimana rangkaian umpan balik dapat ditambahkan untuk mengendalikan karakteristik tanggapan keseluruhan pada operasional amplifier (Op-Amp).
5. Lampu
Lampu merupakan komponen elektronika yang berfungsi
sebagai indikator pada rangkaian.
6.
Transistor NPN
Transistor NPN merupakan jenis transistor bipolar yang menggunakan
arus
listrik kecil dan tegangan positif pada terminal Basis untuk mengendalikan aliran
arus dan tegangan yang lebih besar dari Kolektor ke Emitor. Komponen ini
berfungsi sebagai penguat, pemutus dan penyambung (switching), stabilitasi
tegangan, modulasi sinyal, dan lain lain.
7.
Dioda
Dioda adalah komponen aktif dua kutub yang pada umumnya bersifat semikonduktor, yang memperbolehkan arus listrik mengalir ke satu arah (kondisi panjar maju) dan menghambat arus dari arah sebaliknya (kondisi panjar mundur).
8.
Motor DC
Motor
Listrik DC atau DC Motor adalah suatu perangkat yang mengubah energi
listrik menjadi energi kinetik atau gerakan (motion). Motor DC ini juga dapat
disebut sebagai Motor Arus Searah.
9. Alternator
Alternator ini merupakan generator kebalikan dari motor starter, jika motor starter merubah dari energi lisrik menjadi energi gerak maka sistem pengisian merubah energi gerak menjadi energi listrik. Begitu juga dengan komponennya, jika pada motor starter yang berfungsi untuk membangkitkan medan magnet adalah yang diam (dalam hal ini field coil), maka pada sistem pengisian yang berfungsi untuk membangkitkan medan magnet adalah yang berputar (rotor).
10.
LDR Sensor
Light Dependent Resistor atau disingkat dengan LDR adalah jenis Resistor yang nilai hambatan atau nilai resistansinya tergantung pada intensitas cahaya yang diterimanya.
11.
PIR Sensor
Sensor PIR (Passive Infra Red) adalah sensor yang digunakan untuk mendeteksi adanya pancaran sinar infra merah dari suatu object. Sensor PIR bersifat pasif, artinya sensor ini tidak memancarkan sinar infra merah tetapi hanya menerima radiasi sinar infra merah dari luar.
1. LDR Sensor
LDR
(Ligh Dependent Resistor) adalah suatu komponen elektronik yang resistansinya
tergantung pada intensitas cahaya. LDR di buat dari bahan Cadium Sulfida yang
peka terhadap cahaya. LDR akan mempunyai hambatan yang sangat besar saat tidak
ada cahaya mengenainya (gelap). Dalam kondisi ini hambatan LDR mampu mencapai
1M ohm, akan tetapi pada saat LDR mendapat cahaya hambatan LDR akan menurun
menjadi beberapa puluh ohm saja.
Pada
saat gelap atau cahaya redup, bahan dari cakram pada LDR menghasilkan elektron bebas
dengan jumlah yang relatif kecil. Sehingga hanya ada sedikit elektron untuk
mengangkut muatan elektrik. Artinya pada saat cahaya redup LDR menjadi
pengantar arus yang kurang baik, atau bisa disebut juga LDR memiliki resistansi
yang besar pada saat gelap atau cahaya redup.
Pada
saat cahaya terang, ada lebih banyak elektron yang lepas dari bahan
semikonduktor tersebut. Sehingga akan ada lebih banyak elektron untuk
mengangkut muatan elektrik. Artinya pada saat cahaya terang LDR menjadi
konduktor atau bisa disebut juga LDR memilki resistansi yang kecil pada saat
cahaya terang. LDR digunakan untuk mengubah energi cahaya menjadi energi
listrik. Saklar cahaya otomatis adalah salah satu contoh alat yang menggunakan
LDR. Akan tetapi karena responsnya terhadap cahaya cukup lambat, LDR
tidak digunakan pada situasi dimana intesitas cahaya berubah secara
drastis.
Rangkaian elektronik yang dapat digunakan untuk LDR adalah rangkaian yang dapat mengukur nilai resistansi dari LDR tersebut. Dari hukum ohm, diketahui bahwa:
Dengan
V adalah beda potensial antara dua titik, I adalah arus yang mengalir di
antara-nya, dan R adalah resistansi di antara-nya. Lebih lanjut dikatakan pula
bahwa nilai R tidak bergantung dari V ataupun I. Sehingga, jika ada perubahan
nilai resistansi dari R, maka nilai tegangan V-nya pun akan berubah. Jika beda
potensial di-set tetap, maka perubahan resistansi hanya akan mempengaruhi besar
arusnya.
Karakteristik
Sensor LDR
Adapun
spesifikasi atau karakteristrik umum dari sensor cahaya LDR adalah sebagai
berikut :
·
Tegangan maksimum (DC): 150V
·
Konsumsi arus maksimum: 100mW
·
Tingkatan Resistansi/Tahanan : 10Ω
sampai 100KΩ
·
Puncak spektral: 540nm (ukuran gelombang
cahaya)
·
Waktu Respon Sensor : 20ms – 30ms
· Suhu operasi: -30° Celsius – 70° Celcius.
2. PIR
Sensor
Sensor PIR (Passive Infra Red)
adalah sensor yang digunakan untuk mendeteksi adanya pancaran sinar infra
merah. Sensor PIR bersifat pasif, artinya sensor ini tidak memancarkan sinar
infra merah tetapi hanya menerima radiasi sinar infra merah dari luar. Sensor ini biasanya digunakan dalam perancangan
detektor gerakan berbasis PIR. Karena semua benda memancarkan energi radiasi,
sebuah gerakan akan terdeteksi ketika sumber infra merah dengan suhu tertentu
(misal: manusia) melewati sumber infra merah yang lain dengan suhu yang berbeda
(misal: dinding), maka sensor akan membandingkan pancaran infra merah yang diterima setiap satuan waktu, sehingga jika ada pergerakan
maka akan terjadi perubahan pembacaan pada sensor. Sensor PIR terdiri dari beberapa bagian yaitu :
Lensa Fresnel pertama kali digunakan pada tahun 1980an. Digunakan sebagai lensa yang memfokuskan sinar pada lampu mercusuar. Penggunaan paling luas pada lensa Fresnel adalah pada lampu depan mobil, di mana mereka membiarkan berkas parallel secara kasar dari pemantul parabola dibentuk untuk memenuhi persyaratan pola sorotan utama. Namun kini, lensa Fresnel pada mobil telah ditiadakan diganti dengan lensa plain polikarbonat. Lensa Fresnel juga berguna dalam pembuatan film, tidak hanya karena kemampuannya untuk memfokuskan sinar terang, tetapi juga karena intensitas cahaya yang relative konstan diseluruh lebar berkas cahaya.
b. IR
Filter
IR Filter
dimodul sensor PIR ini mampu menyaring panjang gelombang sinar infrared pasif
antara 8 sampai 14 mikrometer, sehingga panjang gelombang yang dihasilkan dari
tubuh manusia yang berkisar antara 9 sampai 10 mikrometer ini saja yang dapat
dideteksi oleh sensor. Sehingga Sensor PIR hanya bereaksi pada tubuh manusia
saja.
c. Pyroelectric
Sensor
Seperti
tubuh manusia yang memiliki suhu tubuh kira-kira 32˚C, yang merupakan suhu
panas yang khas yang terdapat pada lingkungan. Pancaran sinar inframerah inilah
yang kemudian ditangkap oleh Pyroelectric sensor yang merupakan inti dari
sensor PIR ini sehingga menyebabkan Pyroelectic sensor yang terdiri dari galium
nitrida, caesium nitrat dan litium tantalate menghasilkan arus listrik. Mengapa
bisa menghasilkan arus listrik? Karena pancaran sinar inframerah pasif ini
membawa energi panas. Material pyroelectric bereaksi menghasilkan arus listrik
karena adanya energi panas yang dibawa oleh infrared pasif tersebut. Prosesnya
hampir sama seperti arus listrik yang terbentuk ketika sinar matahari mengenai
solar cell.
d. Amplifier
Sebuah sirkuit amplifier yang ada
menguatkan arus yang masuk pada material pyroelectric.
e. Komparator
Setelah
dikuatkan oleh amplifier kemudian arus dibandingkan oleh komparator sehingga
mengahasilkan output.
Hampir
semua jenis sensor PIR akan memiliki spesifikasi memiliki perbedaan, meskipun
semuanya memiliki cara kerja yang sama. Dapat cek perbedaan tersebut dalam
datasheet.
·
Ukuran
: Persegi
·
Output
: Nilai Digital High (3V)
saat dipicu (gerakan terdeteksi), dan nilai digital Low saat menganggur (tidak
ada gerakan terdeteksi). Panjang pulsa ditentukan oleh resistor dan kapasitor
pada PCB.
·
Jangkauan sensitivitas
: sampai 20
kaki (6 meters) 110 derajat x 70 derajat jangkauan deteksi
· Power supply: 3.3V - 5V tegangan input.
Pada grafik tersebut ; (a) Arah yang berbeda mengasilkan tegangan yang bermuatan berbeda ; (b) Semakin dekat jarak objek terhadap sensor PIR, maka semakin besar tegangan output yang dihasilkan ; (c) Semakin cepat objek bergerak, maka semakin cepat terdeteksi oleh sensor PIR karena infrared yang ditimbulkan dengan lebih cepat oleh objek semakin mudah dideteksi oleh PIR, namun semakin sedikit juga waktu yang dibutuhkan karena sudah diluar jangkauan sensor PIR.
Dari grafik,
didapatkan bahwa suhu juga mempengaruhi seberapa
jauh PIR dapat mendeteksi adanya infrared dimana semakin tinggi suhu disekitar
maka semakin pendek jarak yang bisa diukur oleh PIR.
3. IC OP
AMP
Penguat operasional
atau
yang dikenal sebagai Op-Amp merupakan suatu rangkaian terintegrasi atau IC yang
memiliki fungsi sebagai penguat sinyal, dengan beberapa konfigurasi. Secara
ideal Op-Amp memiliki impedansi masukan dan penguatan yang tak berhingga serta
impedansi keluaran sama dengan nol. Dalam prakteknya, Op-Amp memiliki impedansi
masukan dan penguatan yang besar serta impedansi keluaran yang kecil.
Op-Amp memiliki beberapa
karakteristik, diantaranya:
a. Penguat tegangan tak berhingga (AV = ∼)
b. Impedansi input tak berhingga (rin = ∼)
c. Impedansi output nol (ro = 0) d. Bandwidth tak
berhingga (BW = ∼)
d. Tegangan
offset nol pada tegangan input (Eo = 0 untuk
Ein = 0)
4. Resistor
Resistor atau hambatan adalah salah
satu komponen
elektronika yang memiliki nilai hambatan tertentu, dimana hambatan ini akan
menghambat arus listrik
Rumus dari Rangkaian Seri
Resistor: Rtotal =
R1 + R2 + R3 +
….. + Rn
Rumus dari Rangkaian paralalResistor: 1/Rtotal = 1/R1 + 1/R2 + 1/R3 + ….. + 1/Rn
Rumus resistor dengan hukum
ohm: R = V/I
Cara membaca
resistor:
Termasuk
dalam komponen semikonduktor aktif adalah transistor, Transistor sebenarnya
kepanjangan dari Transfer dan Varistor. Mengenal karakteristiknya
transistor terbagi dua kategori ialah Bipolar Junction
Transistor (BJT) dan Unipolar Transistor. Kerja
transistor pada dasarnya difungsikan sebagai saklar elektronik
(Switching) dan penguat sinyal (Amplifier).
Sekitar
tahun 1947an, Tiga
orang ilmuwan fisika asal Amerika yaitu William Shockley beserta
rekannya John Barden, dan W. H Brattain yang
tergabung sebagai peneliti pada sebuah laboratorium milik perusahaan AT&T
Bell, merekalah yang berhasil pertama kali menemukan Transistor. Transistor
adalah nama yang diberikan oleh ilmuwan John Robinson karena
sifat kerjanya komponen ini yang dapat menghantarkan energi dengan kekuatan
daya hantar dapat ditentukan dengan cara mengatur nilai tahanan pada bias
pengontrolnya. Pernyataan ini sesuai dengan kepanjangan kata dari transistor
yaitu Transfer (Pemindahan) dan Varistor (Variable Resistor). Dan sekitar
tahun 1958an, komponen transistor mulai digunakan pada rangkaian elektronik
dalam projek-projek penelitian para ilmuwan tersebut. Jenis Transistor:
1. Bipolar Junction Transistor
(BJT)
Bi artinya dua dan Polar asal
kata dari polarity yang artinya polaritas, dengan kata lain bipolar
junction transistor (BJT) adalah jenis Transistor yang memiliki dua
polaritas yaitu hole (lubang) atau elektron sebagai carier (pembawa) untuk
menghantarkan arus listrik. Prinsip dasar konstruksinya disusun seperti dari
dua buah dioda yang disambungkan pada kutub yang sama yaitu Anoda dengan anoda
sehingga menghasilkan transistor jenis NPN atau Katoda dengan katoda
yang menjadi transistor jenis PNP.
2. Unipolar Junction Transistor (UJT
Pada transistor UJT hanya satu
polaritas saja yang dijadikan carier/pembawa muatan arus listrik, yaitu
elektron saja atau hole/lubangnya saja, tergantung dari jenis transistor UJT
tersebut. Karena prinsip kerjanya transistor ini berdasarkan dari efek
medan listrik, maka transistor UJT lebih dikenal dengan nama FET (Field Efect
Transistor) atau Transistor Efek Medan. Karakteristik:
Rumus:
6. Diode
Diode (diode)
adalah
komponen elektronika aktif yang terbuat dari bahan semikonduktor dan mempunyai
fungsi untuk menghantarkan arus listrik ke satu arah tetapi menghambat arus
listrik dari arah sebaliknya. Berikut ini adalah fungsi dari dioda antara
lain:
· &nb
sp;
Untuk
alat sensor panas, misalnya dalam
amplifier.
Sebagai sekering(saklar) atau pengaman.
· &nb
sp;
Untuk
rangkaian clamper dapat memberikan
tambahan partikel DC untuk sinyal AC.
· &nb
sp;
Untuk
menstabilkan tegangan pada voltage
regulator
Untuk
penyearah
Untuk
indikator
Untuk alat menggandakan tegangan.
· &nb sp; Untuk alat sensor cahaya, biasanya menggunakan dioda photo.
Simbol dioda adalah :
Setiap kode pada dioda menetukan nilai
dioda dengan nilai :
Untuk
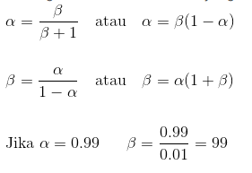
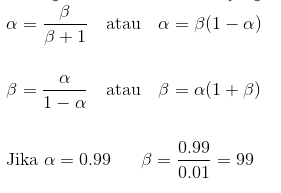
menentukan arus zener (IZ), berlaku persamaan :
Pada grafik terlihat bahwa pada tegangan dibawah ambang batas tegangan mundur (reverse) sebuah dioda akan tembus (menghantar) dan tidak bisa menahan lagi. Batas ini disebut dengan area tegangan breakdown dioda. Kondisi dioda pada area ini adalah tembus atau menghantar dan tidak menghambat. Kemudian pada level tegangan diantara tegangan breakdown dan tegangan forward terdapat area tegangan reverse dan tegangan cut off. Pada area ini kondisi dioda adalah menahan atau tidak mengalirkan arus listrik.
· Buka aplikasi proteus
· Pilih komponen yang dibutuhkan, pada rangkaian ini
dibutukan komponen sensor PIR, sensor LDR, resistor, dioda, relay, lamp, motor,
altenator, op amp, dan baterai
·
Rangkai setiap
komponen menjadi rangkaian yang
diinginkan
·
Ubah spesifikasi
komponen sesuai kebutuhan
·
Tambahkan DC
voltmeter untuk mengetahui besar tegangan
yang dinginkan.
Jalankan simulasi
rangkaian.
Pada
rangkaian ini, LDR dan R1 sebagai pembagi tegangan serta Motor DC sebagai
pintu yang akan otomatis bergerak ketika PIR mendeteksi adanya infrared. Saat LDR tidak
mendapakan cahaya (gelap) maka hambatan
pada LDR semakin besar, yaitu > 1M dan R1 kecil, sehingga tegangan dari
baterai menjadi sangat kecil dan arusnya tidak dapat mengalir ke kaki basis
Transistor Q1 dan Transistor Q2 dan kemudian tidak dapat mengaktifkan
relay RL1 karena tidak ada arus atau tegangan yang lebih kecil dari yang
diperlukan.
Saat LDR
mendapatkan cahaya maka hambatannya menjadi kecil < 100k sehingga tegangan
dari baterai menjadi tidak banyak berkurang dan arusnya dapat mengalir ke kaki
basis Transistor Q1 dan arus dari baterai dapat mengalir ke kaki kolektor
Transistor Q1 yang kemudian arus dapat mengalir dari kaki emitor
Transistor Q1 dan kemudian arus mengalir ke kaki basis Transistor Q2.
Karena terdapat arus pada kaki basis Transistor Q2, maka arus dari baterai akan
mengalir ke kaki kolektor Transistor Q2 dan arus keluar dari kaki emitor
Transistor Q2. Arus ketika menuju kaki kolektor Transistor Q2 terlebih
dahulu melewati relay sehingga mengaktifkan relay RL1.
Disisi lain, ketika sensor PIR berlogika 0, maka tidak akan ada tegangan yang dioutputkan dan arus tidak akan mengalir ke relay RL2 untuk diaktifkan. Sedangkan ketika sensor PIR berlogika 1, maka akan ada tegangan yang dioutputkan dan arus akan mengalir ke op-amp (Non-Inverting) dan tegangan akan diperkuat sehingga dapat menggerakkan motor DC dan mengaktifkan relay RL2.
Saat PIR
berlogika 1 dan tidak ada cahaya |
Saat PIR
berlogika 1 dan ada cahaya |
Hubungan antara RL1 dan RL2 :
Materi:
disini
Video: disini
File rangkaian:
d
isini
Data sheet
ldr: disini
Datasheet
PIR: d
isini
Datasheet
transistor npn: disini
Datasheet op
amp: disini
Datasheet resistor disini
Datasheet dioda:
Library PIR: disini

Tidak ada komentar:
Posting Komentar